Хамгийн энгийнээр мэдлэг болгох нь

Ерөнхий мэдээлэл эндээс (ж.н тос, тосол, очлуур, ... , аккумлятор, жолоодлого)
ImageТөрийн байгууллага

Moderators: temp, Mod_2

User avatar
bd
Электроникч ★
Posts: 1943
Joined: Sun Nov 13, 2011 8:06 pm
Location: Эрдэнэт
Contact:

Хамгийн энгийнээр мэдлэг болгох нь

Post by bd »

Өмнөх форумд АНТИ гишүүний бичиж байсан сэдвийг энд нээж үргэлжлүүлэн хөтөлюү гэж шийдлээ тусалж дэмжээрэй.
МАФ
User avatar
bd
Электроникч ★
Posts: 1943
Joined: Sun Nov 13, 2011 8:06 pm
Location: Эрдэнэт
Contact:

Re: Хамгийн энгийнээр мэдлэг болгох нь

Post by bd »

За тэхээр өнөөдрийн маань сэдэв
аккумалятор
Image
Өнөөдөр та бидний бүх машинд энэхүү зүйл байдаг. Зарим хүмүүс үүний талаар огт мэддэггүй. За тэхээр өнөөдөр энэхүү чухал хэрэгсэлийн талаар товч тодорхой өгүүлж хэрхэн сонгох хэрхэн ашиглах хэрхэн хэмжих талаар бага ч болов мэдээлэл өгье.

Аккумаляторын гол зориулалт бол цахилгааныг хуримтлуулан шаардлагатай үед нь түгээх.

Акуумалятор нь үндсэн 2 төрөлд хуваагдана. Хүчлийн (шингэн) Шүлтийн (хуурай) гэсэн үндсэн хоёр ангилал байх бөгөөд энэ нь зарчимын хувьд ялгаагүй ч доторх ажиллагааны хувьд ялгаатай.

Хүчлийн аккумалятор- LEAD ACID гэсэн бичиг харагдах бөгөөд одоо ихэнх машинууд ийм аккумаляторыг хэрэглэж байгаа. Тугалга хүчлийн химийн урвалыг ашиглан цахилгаан энерги хуримтлуулна.

Шүлтийн аккумалятор- LEAD ALKALI гэсэн бичигтэй байх бөгөөд энэ аккумалятор дотор шингэн байхгүй учир хөдөлгөөн ихтэй техник болох онгоц, мотоцикл зэрэгт ихэвчлэн хэрэглэгддэг.

Хүчлийн аккумалятор нь шүлтийн аккумаляторыг бодлвол арай хямд бас зай бага эзэлдэг бол шүлтийн аккумалятор нь эдэлгээ удаантай байдаг.

Тэхээр бид хүчлийн аккумаляторыг ихэвчлэн хэрэглэдэг тул үүний талаар цааш нь үргэлжлүүлэн арай дэлгэрэнгүй ярия. Аккумаляторт дараах үндсэн үзүүлэлтүүд байдаг. Үүнд

Хүчдэл: 12В (ихэнх машин)
Гүйдэл: ,,,Амперцаг (том жижгээс хамааран өөр өөр)
Тэхээр аккумалятор дээр чинь 60AH эсвэл 60AmpH гэж бичсэн байвал таны машины аккумялтор 1А гүйдлийг 60 цагийн тушид гаргах чадвартай гэж хар ухаанаар бодож болно. Гэхдээ яг энэ хугацаандаа мэдээж хүрдэггүй.

Хэрхэн сонгох вэ?
Таны автомашин хэр зэрэг том хөдөлгүүртэйгээс хамааран аккумаляторыг сонгодог. Тухайн машины заавар дээр хэдэн Ацаг тай аккуалятор тохирожтой вэ гэдгийг бичсэн байдаг. Хэрвээ заасан хэмжээнээс их тоотой аккумалятор авбал яваандаа түүнийг цэнэглэх гэж бензин их хэрэглэнэ. Багадуулаад авчихвал яваандаа асааж дийлэхээ болино. За тэхээр яг зөвлөсөн хэмжээнээс +-10% ийн хооронд сонгох хэрэгтэй.

Хэрхэн ашиглах вэ?
Инээдтэй асуулт байна уу гэхдээ л чухал. Учир нь аккумаляторыг буруу ашигласанаас үүдэн өөрийг нь эвдэх эсвэл гал гаргах бүр дэлбэрэх ч аюултай. Аккумалятор нь химийн хүчтэй хүчил хэрэглэдэг тул түүнтэй тун болгоожтой харьцаж байх хэрэгтэй. Хэрэглэгдэж буй аккумаляторын эргэн тойрон цайрсан өнгөр тогтсон байдаг энийг гараараа арилгаж болохгүй. Мөн + - шонг дээрээс нь хажуугаас нь цохиж болохгүй эвдэрнэ заюу хэхэ. Бас + шон дээр заавал тусгаарлагч зүйл тавьж байх хэрэгтэй. Гэхдээ үйлдвэрлэгчээс ийм тусгаарлагчийг улаан өнгөтэйгээр үйлдвэрлэн + хэсгийг хамгаалсан байдаг. Энэ нь ямар хэрэгтэй вэ гэхээр санаандгүйгээр дамжуулагч дээр нь унагаахад масс үүсэхээс хамгаална. За ер нь тэгээд нэг аккумаляторыг 2-3 уил хэрэглэхэд хангалттай битгтй тэгээд хэмнэж байна гээд явуулаад байгаарай. Машинд чинь л муу шүү. УЧИР нь акумалятор удаад муудаад ирэхээр хүчдэлээ гаргаж чадахаа болиод ирдэг. Ийм аккумаляторыг та ашигласанаар астаачар (starter) аа "алж" байна гэсэн үг. Мэдээж дан ганц астаачар ч биш бусад цахилгаан хэрэглэдэг бүх хэрэгсэлүүд шатах магадлал ихэсдэг. Яагаад вэ гэвэл хүчдэл багасахад тухайн тоноглол хэвийн хэмжээнд ажиллахын тулд илүү гүйдэл шаардана. Тэгээд хална тэгээд шатна. Бас холбож асаадаг баатар болохоосоо өмнө нэлээн хэдэн зүйлийг анхаарах хэрэгтэй. Үүнд:
Холбож болохгүй байдлууд:
2 машины + - ыг аккумаляторыг авалгүйгээр шууд холбох (ээ бурхан минь ингэж л болдгүйм шүү учир нь суусан аккумалятор бас нөгөө асаах гж байгаа машины астаачар 2 өөрийн аккумаляторыг огтхон ч өрөвдөхгүй ховх сорно).

Өөрийнхөө машиныг асаалттай байхад нь нөгөө машинтай холбох. (Машинаа цахилгаанаар бүрэн суулгасан ч хамаагүй гэж үзвэл ингэж холбож болно. Хэрвээ ингэж холбох үед нөгөө мөшинд жижиг хэмжээний масс байвал ямар ч өршөөл байхгүй. Генератороос авхуулаад ажиллаж байгаа бүр төхөөрөмж чинь шатна найраагүй шүү)

Хэрвээ чиний аккумалятор муу бол холбоод хэрэггүй бас тэр хүн чамд таалагдахгүй байвал шуудхан хэл ҮГҮЙ сэжиглэж хийсэн зүйл цаанаал нэг :-ss ийм байдагшд.

Холбож болох ганц байдал:
Өөрийнхөө машиныг асаалттай байхад нь акумалятороо маш болгоомжтой сугалж аваад машинаа асаалттай хэвээр нь үлдээнэ. + утасаа энд тэнд хүрэхээс сайтар сэргийл. Өөрийнхөө аккумаляторыг эвтэйхэн суулгаад асаагаад аккумалятороо буцааж аваад эвтэйхэн суурилуулах.

Зааа тэгээд ер нь бидний хэрэглэдэг хүчлийн акк маань хүйтэнд мааааш "дургүй" тиймээс гэр граш чинь ойр бол акк аа салгаад дулаан газар хадгалж байвал урт наслаж таныг баярлуулна шүү. Бас нэг зүйл нэмээд сануулахад доргио чичиргээнд тун "дургүй" учир доор нь резин ч болтугай тавиарай. Хамгийн чухал зүйл + - шонг шууд холбож хэзээээээээээээ ч болохгүй шүү. Ингэх аваас за тэгээд тэр акк огцом муудна шүү.

Сайн байгаа эсвэл муудсан эсэхийг хэрхэн мэдэх вэ?
Энэ асуултыг хүн болгон тавьдаг ч хариултыг тэр болгон мэддэггүй. Тэхээр мэдээж бүүр муудсан акк ыг бол хэн ч мэднэ. Астаачараа ч ажиллуулж чадахгүй байгаа бол ойлгомжтой муу гэсэн үг. Харин хэвийн ажиллаж байга акк аа хэр зэрэг байгааг яаж мэдэх вэ. Хүчдэл хэмжигч буюу тестер хэрэглэж чаддаг хүн энд олон байдаг тул цаашаа үргэлжлүүлье. Машинаа асаахаас өмнө аккынхаа хүчдэлийг хэмж. 12,3 орчим байх ёстой. хэрвээ 12 оос доош байвал за ер нь эвгүй болсон байна гэж бодох хэрэгэй. За тэхээр цаашаа үргэлжлүүлье хүчдэлийг хэмжсэн хэвээрээ астаачараа дарна. Яг астаачар дараад эргэж байх үед хэдэн вольт зааж байгааг сайн харах хэрэгтэй. Яг астаачар дарах үед 10В оос доошоо орж байвал сольсон нь дээр дээ.
МАФ
User avatar
Uuganaa
Posts: 1419
Joined: Tue Nov 08, 2011 3:52 pm
Car: -
- BNR32
- HNR32
- Cherokee XJ

Re: Хамгийн энгийнээр мэдлэг болгох нь

Post by Uuganaa »

http://www.maf.mn/forum/viewtopic.php?f=3&t=32&start=15 Энд Акк гэсэн сэдэв байгаа ийшээ бичлэгээ кофи хийчээрэй
User avatar
bd
Электроникч ★
Posts: 1943
Joined: Sun Nov 13, 2011 8:06 pm
Location: Эрдэнэт
Contact:

Re: Хамгийн энгийнээр мэдлэг болгох нь

Post by bd »

За энэ сэдэв яачваа уг нь хүн амьтан их л орж гардаг юмсан зав ч болохгүй нэээх гоё тайлбар бичмээр санагдаад боломж олдохгүйн. Заза зовлон тоочих ч яахав. Өнөөдрийн маань сэдэв ТЕСТЕР буюу мултиметр. Мэргэжлийн л хүн биш бол үүнийг хэрэглэнэ гэдэг бас тийм ч амар зүйл биш ээ. Нэрнээс нь харахад л шалгагч олон зүйлийг хэмжигч гэсэн утга нь харагдаж байгааз дээ тэхээр энэхүү багаж нь цахилгаантай холбоотой ихэнх хэмжигдэхүүнүүдийг хамгийн богино хугацаанд тун ойролцоогоор хмжиж үзүүлдгээрээ маш их ач холбогдолтой бөгөөд энэ багажийг хэрэглэдэггүй цахилгаантай холбоотой мэргэжил байдаггүй. А харин бидний өнөөдрийн энд ярих сэдэв бол мэдээж би мэргэжлийн хүнд энэ багажийг хэрэглэх талаар ярьж тэнэгтэхгүй. Гэхдээ сүүлийн үеийн цахилгааны мэргэжилтэй ихэнх оюутнууд энэ багажийг хэрэглэж чадахгүй байдагт эмзэглэдэг гээд сэдвээсээ халиад явчлаа ядаж байтал. За тэхээр автомашинтай тэрэндээ зориулж энэхүү багажийг мэргэжлийн бус хүн яаж хэрэглэх вэ гэсэн энгийн болов ч тэр бүр хүмүүс мэдээд байдаггүй зүйлийн талаар өнөөдөр нэлээн дэлгэрэнгүй ярих гээд үзье.
Мэдээж мэргэжлийн бус хүмүүст ярьж байгаа учир ихэвчлэн хэрэглэгддэг зүйлүүдийг тайлбарлая гэж бодлоо хэрэв бүгдийг нь тайлбарлана гэвэл нэг хуудас хангалтгүй шүү дээ.
Image
Энэхүү багаж нь
Хүчдэл
Гүйдэл
Эсэргүүцэл
Багтаамж
Гэсэн хэмжигдэхүүнүүдийг хэмжих бөгөөд автомашин маань тогтмол 12 вольтйн хүчдэл хэрэглэдэг тул эхний хэрэглээ нь хүчдэл дараа нь эсэргүүцэл хэмжих явдал юм. За энэ 2 ийг хэнээр ч хэлүүлэхгүй өөрөө толгой мэдээд хэмждэг болчуул бас л их үзнэ дээ. За тэхээр доор харагдаж байгаа зурагт үзүүлсэн зүйлсийг тайлбарлая. Эхний зураг
Image
хэрэглэгдэхүүнүүдийг тайлбарлана.
1. Дэлгэц - Энд хэмжилтийн утгыг харуулна
2. Асаах унтраах – Энэ товчлуур дээр дарж асааж унтраана.
3. Display hold – Ямар нэг утга дэлгэцэн дээр харагдаж байх үед дэлгэцийг гацаана
4. Сонгогч сум – Юуг ямар хязгаарт хэмжих вэ? гэдгийг тохируулна
5. Хатгуур сумны орох нүх – Энэхүү 4 нүхний баруун талын 2 нүхийг ихэвчлэн хэрэглэнэ. СОМ буюу СОММОN гэсэн нүхэнд энэ хар өнгийн утас дандаа хатгаатай байх ёстой.
6. Хатгуур зүү – 2 цэгийн хоорондох хүчдэлийг болон 2 цэгийн хоорондох эсэргүүцлийг хэмжинэ.
7. Транзистор хэмждэг оролт – Энийг хэрэглэх хэрэг гарахгүй л болов уу.
З энэхүү зүйлүүдийг ерөнхийд нь хэрэглэж хэмжилтүүдийг гүйцэтгэнэ. Харин одоо доорх зурагт хэмжигджхүүнүүдийг тайлбарлая.
Image
8. Тогтмол хүчдэл – Машины аккумаляторын хүчдэл хэмжихээр бол энэ мужид тавьж хэминэ.
9. Хувьсах хүчдэл – Разетканы хүчдэлийг хэмжинэ дээ.
10. Энийг хэрэглэж байгаагүйн байна юу юм бүү мэд.
11. Хувьсах гүйдэл – Энийг хэмжих гээд хэрэггүй буруу хийвэл багажаа шатааж мэднэ.
12. Тогтмол гүйдэл – Энийг хэмжих гээд бас л хэрэггүй.
13. Диод хэмжинэ бас дуут дохио – Энэ хэсэгт тохируулчихаад 2 зүүгээ хооронд нь хүргэвэл дүүүд гээд дугарна. Энэ нь утас тасраагүй байгааг хэмжихэд ихэвчлэн хэрэглэгддэг.
14. 13 дээр тавиад хэмжиж байх явцад 2 үзүүр хоорондоо хүрсэн тохиолдолд энэ жижиг улаан гэрэл асна.
За тэхээр та бүхэн нэг зүйл анзаарсан бол энэхүү хэмжигдэхүүнүүд хоорондоо холилдсон цэгцгүй мэт харагдаж болохын. Гэвч энэхүү хэмжигдэхүүнүүдийг доорх зузаан нимгэн зураасуудаар ялгасан болно. Өөөрөөр хэлбэл зузаан байж байгаад нимгэрхэд эсвэл нимгэн зураас явж байгаад зузаарахад хэмжигдэхүүн өөрчлөгдөнө.
Image
Харж байна уу заагийг.

Жишээ авч үзвэл энэхүү заавар арай ойлгомжтой болох байх. Агаараар баахан юм яриад яахав дээ.

Жишээ №1 Аккумаляторын хүчдэл шалгах
Элбэг тохиолддог хэмжилт. За тэхээр эхлээд тестрээ асаана дараа нь 4 буюу сонгогч сумыг тогтмол хүчдэлийн мужийн 20 хүртэл гэсэн хязгаарт тохируулан
Image
нэмэх шон дээр улаан үзүүрийг хасах шон дээр хар үзүүрийг барихад дэлгэцэн дээр аккумаляторын хүчдэлийг заах болно.

Жишээ №2 Свечений утасны эсэргүүцлийг шалгах
Бас л элбэг тохиолддог хэмжилтүүдийн нэг нь. Эхлээд тестерээ асаагаад 4 буюу сонгогч сумаар эсэргүүцэл хэмжих мужийн 20К буюу 20 000 ом хэмжих цэг дээр аваачина.
Image
Свеченийхээ утсыг тайлж аваад нэг 2 зүүгээ нэг нэгээр нь утасныхаа 2 үзүүрт барина дэлгэцэнд утга харагдана.
Хэрвээ ямар нэгэн утга гарахгүй хамгийн урд талын орон 1 ийн тоо болчихсон бол хэмжигдэхүүн хэмжих хязгаараас давсан гэдгийг заах бөгөөд ийм тохиолдолд хэмжих хязгаарыг нэмэгдүүлэн хэмжих хэрэгтэй 200К дээрч юм уу.
МАФ
User avatar
davaanaa
Posts: 3284
Joined: Sun Nov 27, 2011 1:40 am
Car: 2001 Mitsubishi RVR turbo
2002 Mitsubishi Airtrek
2003 Nissan X-Trail 2.0
2004 Toyota Harrier 2.4 AWD
2005 Land Rover Discovery III
2005 Mazda RX-8 AT
2005 Toyota Vitz
2005 Toyota Hilux
2010 Nissan Murano
2005 Mazda RX-8 MT
2000 Toyota Altezza
Location: Улаанбаатар хот, Монгол улс
Contact:

Re: Хамгийн энгийнээр мэдлэг болгох нь

Post by davaanaa »

Өөр сонирхолтой зүйлс оруулвал гоё л сэдэв байна like
НАМАЙГ ХАЗСАН ШУМУУЛЫГ БИ АЛДАГГҮЙ. УЧИР НЬ ТҮҮНИЙ БИЕЭР МОНГОЛ ХҮНИЙ ЦУС ГҮЙЖ БАЙГАА.. XAXAXA
_____________________________________________________
Бид машинтай явахдаа явган зорчигчидыг зүхдэг бол явган явахдаа жолооч нарыг хараадаг бөлгөө.
User avatar
aza315
Posts: 397
Joined: Fri Nov 11, 2011 12:42 pm
Location: www.maf.mn

Re: Хамгийн энгийнээр мэдлэг болгох нь

Post by aza315 »

akumlyator holbohdoo doosh ni tongoilgoj holboj bolku geed bsan teriig yagaad gedgiig ni tailbarlaj uguuch
171
User avatar
davaanaa
Posts: 3284
Joined: Sun Nov 27, 2011 1:40 am
Car: 2001 Mitsubishi RVR turbo
2002 Mitsubishi Airtrek
2003 Nissan X-Trail 2.0
2004 Toyota Harrier 2.4 AWD
2005 Land Rover Discovery III
2005 Mazda RX-8 AT
2005 Toyota Vitz
2005 Toyota Hilux
2010 Nissan Murano
2005 Mazda RX-8 MT
2000 Toyota Altezza
Location: Улаанбаатар хот, Монгол улс
Contact:

Re: Хамгийн энгийнээр мэдлэг болгох нь

Post by davaanaa »

Hey Brake Pad буюу накладны талаар хэрэгтэй зүйл бичэж өгөөч ямар нь гайгүй ямар нь муу гээ л ...
НАМАЙГ ХАЗСАН ШУМУУЛЫГ БИ АЛДАГГҮЙ. УЧИР НЬ ТҮҮНИЙ БИЕЭР МОНГОЛ ХҮНИЙ ЦУС ГҮЙЖ БАЙГАА.. XAXAXA
_____________________________________________________
Бид машинтай явахдаа явган зорчигчидыг зүхдэг бол явган явахдаа жолооч нарыг хараадаг бөлгөө.
User avatar
bd
Электроникч ★
Posts: 1943
Joined: Sun Nov 13, 2011 8:06 pm
Location: Эрдэнэт
Contact:

Re: Хамгийн энгийнээр мэдлэг болгох нь

Post by bd »

aza315 wrote:akumlyator holbohdoo doosh ni tongoilgoj holboj bolku geed bsan teriig yagaad gedgiig ni tailbarlaj uguuch
Ямар ч аккумаляторыг ямар ч тохиолдолд тонгойлгох доош нь харуулах хазаййлгхыг хориглодог яагаад гэвэл доторх хүчил нь асгарч 1-рт түлэгдэх 2-рт орчин тойрныг бохирдуулах 3-рт аккумалятор чинь ажиллагаагүй болох.
davaanaa wrote:Hey Brake Pad буюу накладны талаар хэрэгтэй зүйл бичэж өгөөч ямар нь гайгүй ямар нь муу гээ л ...
За тэгж байгаад сайхан дэлгэрэнгүй бичнэ ээ. Зав одоохондоо арай л муу байна .
МАФ
ebayaraa
Posts: 342
Joined: Fri Nov 11, 2011 6:35 pm

Re: Хамгийн энгийнээр мэдлэг болгох нь

Post by ebayaraa »

акк-ийн утасны эсэргүүцэл хэд байвал хэвийн буюу хэдээс хэтэрвэл асуудалтай гэж үзэх вэ?
User avatar
Ochki
Admin
Posts: 6978
Joined: Tue Nov 08, 2011 12:58 pm
Car: өвгөн бэнз w123
заримдаа онгирогчдын машин sg5 xt
greenland 105 maybe 102.5
Location: Ulaanbaatar
Contact:

Re: Хамгийн энгийнээр мэдлэг болгох нь

Post by Ochki »

eserguutsel barag l baihgui bh bolvuu.
Dairaldsnaa unaal yavjina
User avatar
aza315
Posts: 397
Joined: Fri Nov 11, 2011 12:42 pm
Location: www.maf.mn

Re: Хамгийн энгийнээр мэдлэг болгох нь

Post by aza315 »

bd wrote:3-рт аккумалятор чинь ажиллагаагүй болох.
harin yag yagaad ajillagaagui bolj bgaag ni tailj ugnu uu
171
User avatar
bd
Электроникч ★
Posts: 1943
Joined: Sun Nov 13, 2011 8:06 pm
Location: Эрдэнэт
Contact:

Re: Хамгийн энгийнээр мэдлэг болгох нь

Post by bd »

ebayaraa wrote:акк-ийн утасны эсэргүүцэл хэд байвал хэвийн буюу хэдээс хэтэрвэл асуудалтай гэж үзэх вэ?
Эсэргүүцэлгүй байх ёстой Очки гишүүнтэй санал нэг байна.
aza315 wrote:harin yag yagaad ajillagaagui bolj bgaag ni tailj ugnu uu
Доторх шингэн нь хазайлгахад байхгүй болчихвол аккумалятор ажиллагаагүй болно. Аа шингэ асгараагүй ч гэсэн тонгойлгож холбооод ажиллахаа болисон бол доторх сараалжин тор нь доргисон гэж үзнэ. Энэ тохиолдолд бас л ажиллахгүй.
МАФ
User avatar
bd
Электроникч ★
Posts: 1943
Joined: Sun Nov 13, 2011 8:06 pm
Location: Эрдэнэт
Contact:

Re: Хамгийн энгийнээр мэдлэг болгох нь

Post by bd »

Зааза тэгвэл бичнэ ээ. Өвөл дөхөж байна. Хүйтэнд машин асаахад ямархуу зүйл болдог талаар бага зэрэг зүйл бичмээр санагдлаа. За тэгэхээр хүмүүсийн дунд 2 том маргаан байдаг. Нэг нь асаагаад 3н минут ядаж нормальдах хэрэгтэй нөгөө нь ассан л бол хаазаа 2 оос нээх дээш гаргалгүй явахад болно. За тэхээр зөв нь эхнийх нь
Нэг зүйлийг тийм гэж бодож байгаа бол мэдээж яагаад гэдэгийг нь сайн мэддэг байх хэрэгтэй.
ЯАГААД?

Хөдөлгүүрийг -20 градусаас доош температурт асаах нь огцом элэгдэлд оруулдаг гэж ярьдаг гэтэл бас яг яагаад элэгдэлд ороод байна вэ. За бүүр эхнээс нь тайлбарлая. Хөдөлгүүрийн их бие (доод анги гэж ярих нь бий) нь аль болох дулааны үйлчлэлд бага ордог материалаар хийгдсэн байдаг. Энэ нь юу гэсэн үг вэ гэхээр халж хөрч байсан ч агшиж тэлэх нь бага байх шалгуур тавьдаг. Яагаад ийм шалгуур тавьж байна гэхээр хөдөлгүүр дээр олон төрлийн эд анги хамт бэхлэгддэг тул тэдгээрийн суурь нь бат бөх байх учиртай. За их бие ийм байдгийн байж. Одоо поршин буюу бүлүүрийн талаар ярих хэрэгтэй. Бүлүүрийг хийх материалд тавигдах гол 2 шалгуур нь маш хөнгөн мөш бат бөх. Хөнгөн байлгаж байгаа учир нь тэсрэлт болоход хүчийг бууруулахгүйгээр тахир голонд дамжуулах. Бат бөх байх нь бол ойлгомжтой. Тэсрэлт болоод хүчтэй түлхэхэд хага үсрээд явчиж болохгүй шүү дээ. За гэтэл энэ 2 шаардлагыг хангаад хөдөлгүүрийг хийчлээ гэж бодъё. Гэтэл эцсийн эцэст ашигтай талууд нь нийлээд хөдөлгүүр маань ажиллана. Харин сул талууд нь гэвэл их бие хүнд болно. Бүлүүр нь дулааны үйлчлэлд мэдрэмтгий буюу халаавал тэлж томроод хөргөвөл агшаад жижгэрчихдэг. Ийм дутагдлыг засах талаар дорвитой ажил явахгүй байгаа. Учир нь бүх газар Монгол шиг нэг халаал нэг хөрөхгүй шүү дээ. Зааза тэгээд эцсийн эцэст яагаад хүйтэнд элэгдээд байгаа талаар тайлбараа хийе. Хүйтрээд -20 оос доошоо ороод ирэхээр хөдөлгүүрийн их биенээс илүү поршин маань жижигхэн болчихдог байна. Гэтэл тэр жижиг золиг маань яг эгц явах замаараа явахгүй аль нэг тийшээ далийлттай хөдөлдөг тул хусуураар хусч байгаа мэт кольц гэх бүслүүрээрээ моторын дотор талыг хусч элэгдүүлдэг байх нь. Энэ үед хөдөлгүүрийн тос маш сайн тослох шинж чанартай байхгүй бол элэгдэлт хурдацтай яавагдана. Тэгвэл асаачаад нормальдаад зогсоод байх хөдлөөд явах 2 хэр зэрэг ялгаатай вэ? Мэдээж нормальдаж байвал зөвхөн хөдөлгүүрийн эргүүлэх хүч л их биений хананд үйлчилнэ. Хөдлөөд яваад эхэлбэл хөдөлгүүрийн эргүүлэх хүч нэмэх нь машиныг хөдөлгөж байгаа хүчний нийлбэрээр их биеэ хусуур шиг л хусна. Их биеэ хусах нь бол тодорхойн байна. Харин их хүчтэй хусч хурдан элэгдүүлэх үү сонголт жолоочид л үлдлээ.

Харин эсэргээрээ хөдөлгүүр хэт халж 130 градусаас дээш гарахад бүлүүр нь тэлээд их биетэйгээ зууралдчихдаг байна. Манайхан хөдөлгүүрээ халаагаад зуурчихлаа гэж яридаг шүү дээ. Энэ үед ихэвчлэн 1 ээс 2 бүлүүр зэрэг зуурах бөгөөд үлдсэн 2 нь хүчилсэнээр доод тахир го укладч зэргийг гэмтээж хөдөлгүүрийн их бие маань хүйтэнд асааснаас хэдэн мянга дахин элэгдэлтэнд ордог байна. За өнөөдөр ингээд дуусгая даа дараа өөр зүйл бичнэ ээ.
МАФ
User avatar
bd
Электроникч ★
Posts: 1943
Joined: Sun Nov 13, 2011 8:06 pm
Location: Эрдэнэт
Contact:

Re: Хамгийн энгийнээр мэдлэг болгох нь

Post by bd »

Заа тэхээр өнөө орой бас нэгэн судалж олж мэдсэн зүйлээ бусадтайгаа хуваалцахаар шийдлээ. Энэ бол очлуурын утас буюу SPARK PLUG CABLE юм. Очлуурын утас ЯАГААД ЭСЭРГҮҮЦЭЛ ИХТЭЙ БАС ЗУЗААН ДАВХРАГААР ХАМГААЛАГДСАН байдаг вэ? Энгийн утсаар яагаад хийчихэж болоогүй юм бэ? Яагаад???

Би юмыг бүүр эхнээс нь буюу сууриас нь ярих дуртай. Тийм болохоор дахиад л анхнаас нь эхлэе. Мэдээж очлуурын утсыг очлуурт хэрэглэх учир эхлээд очлуурны талаар цухас дурдъя. Тэгэхгүй бол нэг л болохгүй нь.

Өндөр даралтанд орсон ажлын холимогийг очлуурт тог өгсөнөөр тэслэж тэрхүү тэсрэлтээс үүссэн хүчээр та бид өнөөдөр машинаа хөдөлгөж байна. Тэхээр манай очлуурын маань үүрэг тодорхой боллоо тэслэх гэдэг нь. Тэгвэл яг тэрхүү тэсрэх үед юу болоод байна вэ. Үүнийг би жижигрүүлсэн аянга гэж нэрлэмээр санагдсан. Учир нь байгаль аянга буухдаа хүчдэлийн зөрүүг агаар тусгаарлаж дийлэхээ болих яг тэр мөчид цахилалт явагддаг. Яг үүний адилаар очлуурын гол болон их биеийн хооронд хүчдэлийн зөрүүг ажлын холимог тусгаарлаж чадахааргүй их байлгадаг. Энгийнээр очлолтыг аянга гэж үзвэл тэнгэр нь очлуурын гол газар нь их бие юм.
Image

За тэгвэл очлолт явагдахад ямар байвал бидэнд ашигтай вэ? Энэ хамгийн чухал хэсэг. Учир нь очлолтыг бид удирдах хэрэгтэй очлолто ашигтай байх үндсэн 2 нөхцөл байдаг.
1-рт Хүчдэл хангалттай өндөр байх. (Энэ нь найдвартай тэслэлт хийнэ гэсэн үг хэрвээ тэсэлж чадахгүй бол бид тэр болгонд бензинээ шаал дэмий яндан руугаа шахна гэсэн үг)
2-рт Гүйдэл байж болох хамгийн бага утганд байх.

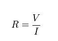
Гүйдлийг хамгийн бага утганд байлгах гээд байгаа шалтгаан гэвэл очлолт болоход хэдий чинээ их гүйдэл гүйнэ төдий чинээ их тортог үлдэнэ. Тйимээс гүйдлийг байж болох хамгийн бага түвшинд барьж чадвал очлуурыг удаан ашиглах боломжтой. Гүйдлийг бага байлгахын тулд яах вэ. Гүйдэл гүйж буй хэлхээний эсэргүүцлийг ихэсгэнэ. Омын хууль
Image

За тэхээр ерөөсөө тодорхой боллоо дээрх 2 шаардлагыг хангахын тулд бид очлуурын утсыг тийм төвөгтэй болсоныг ойлголоо шүү дээ.

Яагаад эсэргүүцэл өндөртэй байдаг юм бэ? Гүйдэл бага гүйлгэх гэж
Яагаад зузаан тусгаарлагчтай байдаг юм бэ? Хүчдэл өндөр тул гадагш нь тогоо алдахгүйн тулд.

Тиймээс та бүхэн очлуурынхаа утсыг ядаж сард нэг удаа эсэргүүцлийг шалгаад заавар дээр нь хэдэн Ом байх ёстой гэж байна. Тэр интервалдаа байна уу. Хав харанхуйд хаазлуулж үзээд тог гадагшаа алдаж байна уу үзээрэй.
МАФ
User avatar
Egu
Posts: 2773
Joined: Sun Nov 20, 2011 10:17 pm
Car: VW Bora mk4 2003 VR5 Tiptronic AT SOLD
VW Golf GTI mk4 2003 Tiptronic AT SOLD
Subaru Forester SG5 2003 MT5 SOLD
Toyota Vanguard 2008 3.5 V6 AT SOLD
Subaru Impreza GDB 2002 MT6
Toyota Altezza SXE 1999 MT6

Re: Хамгийн энгийнээр мэдлэг болгох нь

Post by Egu »

mashinii hugjim chini undsen heden heseg baidag bilee?
Radio
Usgugch
Dipuzeruud?
zuvuu?
Toyota Corolla Levin ae85 1983 AT
Post Reply

Return to “Ерөнхий хэлэлцүүлэг /General Discussion/”